1. Operaciones en dominio de tiempo y frecuencia
Referencia: McClellan 3.3 p81
Uno de los beneficios de uso del espectro de frecuencias es que las operaciones sobre x(t) se muestran como resultados simples en la gráfica de espectro. Estos cambios relacionados en el dominio de t y f se denominan propiedades de la representación espectral. Para los ejemplos se usará el algoritmo de producto de sinusoides.
2. Escalar o sumar con una constante
Referencia: McClellan 3.3.1 y 3.3.2 p81
Multiplicar una señal por un factor 'c' constante cambia la escala de amplitud en el espectro por el mismo factor 'c', pero deja las frecuencias sin cambios.
Sumar una constante a una señal x(t)+c, cambia la amplitud compleja de solo del componente constante o frecuencia f=0
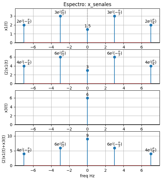
x(t)+c=\sum_{f \neq 0} a_ke^{j2 \pi f_k t} + \left[ a_0 e^{j2 \pi (0) t} + c \right]2.1 Ejemplo
Para la señal x(t) mostrada
x(t) = \frac{2}{3} + 6 \cos(6\pi t − \pi /3 ) + 4 \cos(14\pi t + \pi/4)realizar las operaciones
y(t)=2x(t)+6
La amplitud de las señales en f=±3 y ±7 se duplican en el factor 2, El valor de la constante a la frecuencia cero, también se duplica por el factor 2 y se añade la constante 6 dando como resultado 2(1.5) +6 = 9
2.2 Resultado con algoritmo
Ingreso
# INGRESO
x1 = 3/2 + 6*sym.cos(6*pi*t - pi/3) + 4*sym.cos(14*pi*t + pi/4)
x2 = 2*x1
x3 = 6
x4 = x2+x3
# Para espectro de frecuencias y fasores
x_senales = [x1,x2,x3,x4]
x_etiqueta = ['x1(t)','(2)x1(t)','x3(t)','(2)x1(t)+x3(t)']
Resultado
senal: 6*sin(6*pi*t + pi/6) + 4*cos(14*pi*t + pi/4) + 1.5
espectro:
freq : [-7. -3. 0. 3. 7.]
ampl : [2. 3. 1.5 3. 2. ]
fase : [-pi/4 pi/3 0 -pi/3 pi/4]
etiq : ['$2$$ e^j(- \\frac{\\pi}{4})$' '$3$$ e^j(\\frac{\\pi}{3})$' '$1.5$'
'$3$$ e^j(- \\frac{\\pi}{3})$' '$2$$ e^j(\\frac{\\pi}{4})$']
x_expand : 6*sin(6*pi*t + pi/6) + 4*cos(14*pi*t + pi/4) + 1.5
freq_max : 7.0
freq_min : 3.0
BW : 4.0
senal: 12*sin(6*pi*t + pi/6) + 8*cos(14*pi*t + pi/4) + 3.0
espectro:
freq : [-7. -3. 0. 3. 7.]
ampl : [4 6 3 6 4]
fase : [-pi/4 pi/3 0 -pi/3 pi/4]
etiq : ['$4$$ e^j(- \\frac{\\pi}{4})$' '$6$$ e^j(\\frac{\\pi}{3})$' '$3$'
'$6$$ e^j(- \\frac{\\pi}{3})$' '$4$$ e^j(\\frac{\\pi}{4})$']
x_expand : 12*sin(6*pi*t + pi/6) + 8*cos(14*pi*t + pi/4) + 3
freq_max : 7.0
freq_min : 3.0
BW : 4.0
senal: 6
espectro:
freq : [0.]
ampl : [6]
fase : [0]
etiq : ['$6$']
x_expand : 6
freq_max : 0.0
freq_min : 0
BW : 0.0
senal: 12*sin(6*pi*t + pi/6) + 8*cos(14*pi*t + pi/4) + 9.0
espectro:
freq : [-7. -3. 0. 3. 7.]
ampl : [4 6 9 6 4]
fase : [-pi/4 pi/3 0 -pi/3 pi/4]
etiq : ['$4$$ e^j(- \\frac{\\pi}{4})$' '$6$$ e^j(\\frac{\\pi}{3})$' '$9$'
'$6$$ e^j(- \\frac{\\pi}{3})$' '$4$$ e^j(\\frac{\\pi}{4})$']
x_expand : 12*sin(6*pi*t + pi/6) + 8*cos(14*pi*t + pi/4) + 9
freq_max : 7.0
freq_min : 3.0
BW : 4.0
gráfica de espectro de frecuencias

3. Desplazamiento en tiempo o multiplicar por exponencial complejo
Referencia: McClellan 3.3.3 p84
Para desplazamiento en el tiempo, las frecuencias no cambia, solo hay cambio de fase en las amplitudes complejas del espectro.
y(t) = x (t−\tau_d) \leftrightarrow b_k = a_k e^{−j2 \pi f_k \tau_d}dado que
y(t) = x(t − \tau_d) =\sum_k a_k e^{−j2 \pi f_k (t−\tau_d)} = \sum_k \left(a_k e^{−j2 \pi f_k \tau_d} \right) e^{j 2 \pi f_k t}3.1 Ejemplo
Considere x(t) con un retraso τd que es 1/4 de su periodo.
x(t) = 6 \cos(250 \pi t) T=\frac{1}{125} \tau_d=\frac{T}{4} =\left(\frac{1}{125} \right) \frac{1}{4}=\frac{1}{500} = 0.002 e^{−j 250\pi (0.002)} = e^{−j0.5\pi} = −j x(t−0.002)=6\sin(250 \pi t)3.2 Resultado con algoritmo
Ingreso
# INGRESO
x0 = 6*sym.cos(250*pi*t)
x1 = x0.subs(t,t-0.002)
# Para espectro de frecuencias y fasores
x_senales = [x0,x1]
x_etiqueta = ['x(t)','x(t-0.002)']
Resultado
x_senales:
senal: 6*cos(250*pi*t)
espectro:
freq : [-125. 125.]
ampl : [3 3]
fase : [0 0]
etiq : ['$3$' '$3$']
x_expand : 6*cos(250*pi*t)
freq_max : 125.0
freq_min : 125.0
BW : 0.0
senal: 6*cos(pi*(250*t - 0.5))
espectro:
freq : [-125. 125.]
ampl : [3 3]
fase : [0.5*pi -0.5*pi]
etiq : ['$3$$ e^j(0.5 \\pi)$' '$3$$ e^j(- 0.5 \\pi)$']
x_expand : 3*I*cos(250*pi*t) + 3*I*cos(250*pi*t - 1.0*pi) + 6*cos(250*pi*t - 0.5*pi)
freq_max : 125.0
freq_min : 125.0
BW : 0.0
gráfica de espectro de frecuencias

4. Diferenciación en tiempo - derivar
Referencia: McClellan 3.3.4 p84
La derivada de una señal x(t) no realiza cambios en las frecuencias, las amplitudes en el espectro de frecuencia se modifican como
y(t) = \frac{d}{dt} x(t) \leftrightarrow b_k=(j 2 \pi f_k) a_kdado que
y(t) = \frac{d}{dt} x(t)= \sum_k a_k \frac{d}{dt} e^{j2\pi f_k t} =\sum_k \left( (j2 \pi f_k) a_k \right) e^{j2 \pi f_k t}4.1 Ejemplo
Derivar x(t) que tiene sin() y una constante.
x(t)=7+6 \cos(250 \pi t)La frecuencia f=0 tiene magnitud 7 que es (j 2 π (0)) = 0 que se elimina de la expresión. En la frecuencia de 125 Hz el término se multiplica por (j 2 π (125))
(j2 \pi (125))(−3j) = 750\pi \frac{d}{dt} x(t)=1500 \pi \cos(250 \pi t)4.2 Resultados con el algoritmo
Ingreso
# INGRESO
x0 = 7 + 6*sym.sin(250*pi*t)
x1 = sym.diff(x0,t)
# Para espectro de frecuencias y fasores
x_senales = [x0,x1]
x_etiqueta = ['x(t)',"x'(t)"]
Resultado
x_senales:
senal: 6*cos(250*pi*t)
espectro:
freq : [-125. 125.]
ampl : [3 3]
fase : [0 0]
etiq : ['$3$' '$3$']
x_expand : 6*cos(250*pi*t)
freq_max : 125.0
freq_min : 125.0
BW : 0.0
senal: 6*cos(pi*(250*t - 0.5))
espectro:
freq : [-125. 125.]
ampl : [3 3]
fase : [0.5*pi -0.5*pi]
etiq : ['$3$$ e^j(0.5 \\pi)$' '$3$$ e^j(- 0.5 \\pi)$']
x_expand : 3*I*cos(250*pi*t) + 3*I*cos(250*pi*t - 1.0*pi) + 6*cos(250*pi*t - 0.5*pi)
freq_max : 125.0
freq_min : 125.0
BW : 0.0
>>>
gráfica de espectro de frecuencias

5. Desplazamiento de frecuencia
Referencia: McClellan 3.3.5 p85
Multiplicar una señal x(t) por una sinusoide o una exponencial compleja tiene como resultado que las frecuencias en el espectro se desplazan.
y(t)=x(t) A \cos(2 \pi f_c t+ \Phi ) = x(t)\frac{1}{2} A e^{j \Phi } e^{j 2 \pi f_c t} + x(t)\frac{1}{2} A e^{−j\Phi} e^{−j2 \pi f_c t}que es el resultado observado en el producto de sinusoides y tema tratado para AM
y(t)=A e^{j \phi} e^{j2 \pi f_c t}\sum_k a_k e^{j 2\pi f_k t} y(t)=\sum_k \left( a_k A e^{j\Phi}\right) e^{j2\pi (f_k+f_c)t}Que se interpreta en el espectro de frecuencias, cada frecuencia en x(t) se desplaza por fc, suponiendo que fc>0. Todas las amplitudes complejas se multiplican por la amplitud compleja del exponencial complejo.
5.1 Ejemplo
Para una señal x(t) con varios componentes mostrada en la gráfica de espectro de frecuencias, añadir a la gráfica los resultados de las operaciones indicadas:
x_1(t)= x(t) \cos(2\pi 9 t) x_1(t)= x(t) \sin(2\pi 9t)Siendo
x(t) = 8 + 4 \cos(2\pi t) + 4 \cos(2\pi(2)t) + 12 \cos(2 \pi (3)t + \pi/2)5.2 Resultados con el algoritmo
Ingreso
# INGRESO
x0 = 8 + 4*sym.cos(DosPi*t) + 4*sym.cos(DosPi*2*t)+ 12*sym.cos(DosPi*3*t + pi/2)
x1 = x0*sym.cos(DosPi*9*t)
x2 = x0*sym.sin(DosPi*9*t)
# Para espectro de frecuencias y fasores
x_senales = [x0,x1,x2]
x_etiqueta = ['x(t)','x(t)*cos(2*pi*9*t)','x(t)*sin(2*pi*9*t)']
Resultado
x_senales:
senal: 8 - 12*sin(3*t*(2*pi)) + 4*cos(t*(2*pi)) + 4*cos(2*t*(2*pi))
espectro:
freq : [-3. -2. -1. 0. 1. 2. 3.]
ampl : [6 2 2 8 2 2 6]
fase : [-pi/2 0 0 0 0 0 pi/2]
etiq : ['$6$$ e^j(- \\frac{\\pi}{2})$' '$2$' '$2$' '$8$' '$2$' '$2$'
'$6$$ e^j(\\frac{\\pi}{2})$']
x_expand : -6*I*(-I*sin(6*pi*t) + cos(6*pi*t)) + 6*I*(I*sin(6*pi*t) + cos(6*pi*t)) + 4*cos(2*pi*t) + 4*cos(4*pi*t) + 8
freq_max : 3.0
freq_min : 1.0
BW : 2.0
senal: (8 - 12*sin(3*t*(2*pi)) + 4*cos(t*(2*pi)) + 4*cos(2*t*(2*pi)))*cos(9*t*(2*pi))
espectro:
freq : [-12. -11. -10. -9. -8. -7. -6. 6. 7. 8. 9. 10. 11. 12.]
ampl : [3 1 1 4 1 1 3 3 1 1 4 1 1 3]
fase : [-pi/2 0 0 0 0 0 pi/2 -pi/2 0 0 0 0 0 pi/2]
etiq : ['$3$$ e^j(- \\frac{\\pi}{2})$' '$1$' '$1$' '$4$' '$1$' '$1$'
'$3$$ e^j(\\frac{\\pi}{2})$' '$3$$ e^j(- \\frac{\\pi}{2})$' '$1$' '$1$'
'$4$' '$1$' '$1$' '$3$$ e^j(\\frac{\\pi}{2})$']
x_expand : 3*I*(-I*sin(12*pi*t) + cos(12*pi*t)) - 3*I*(I*sin(12*pi*t) + cos(12*pi*t)) - 3*I*(-I*sin(24*pi*t) + cos(24*pi*t)) + 3*I*(I*sin(24*pi*t) + cos(24*pi*t)) + 8*cos(18*pi*t)
freq_max : 12.0
freq_min : 6.0
BW : 6.0
senal: (8 - 12*sin(3*t*(2*pi)) + 4*cos(t*(2*pi)) + 4*cos(2*t*(2*pi)))*sin(9*t*(2*pi))
espectro:
freq : [-12. -11. -10. -9. -8. -7. -6. 6. 7. 8. 9. 10. 11. 12.]
ampl : [3 1 1 4 1 1 3 3 1 1 4 1 1 3]
fase : [0 pi/2 pi/2 pi/2 pi/2 pi/2 pi pi -pi/2 -pi/2 -pi/2 -pi/2 -pi/2 0]
etiq : ['$3$' '$1$$ e^j(\\frac{\\pi}{2})$' '$1$$ e^j(\\frac{\\pi}{2})$'
'$4$$ e^j(\\frac{\\pi}{2})$' '$1$$ e^j(\\frac{\\pi}{2})$'
'$1$$ e^j(\\frac{\\pi}{2})$' '$3$$ e^j(\\pi)$' '$3$$ e^j(\\pi)$'
'$1$$ e^j(- \\frac{\\pi}{2})$' '$1$$ e^j(- \\frac{\\pi}{2})$'
'$4$$ e^j(- \\frac{\\pi}{2})$' '$1$$ e^j(- \\frac{\\pi}{2})$'
'$1$$ e^j(- \\frac{\\pi}{2})$' '$3$']
x_expand : I*(-I*sin(14*pi*t) + cos(14*pi*t)) - I*(I*sin(14*pi*t) + cos(14*pi*t)) + I*(-I*sin(16*pi*t) + cos(16*pi*t)) - I*(I*sin(16*pi*t) + cos(16*pi*t)) + 4*I*(-I*sin(18*pi*t) + cos(18*pi*t)) - 4*I*(I*sin(18*pi*t) + cos(18*pi*t)) + I*(-I*sin(20*pi*t) + cos(20*pi*t)) - I*(I*sin(20*pi*t) + cos(20*pi*t)) + I*(-I*sin(22*pi*t) + cos(22*pi*t)) - I*(I*sin(22*pi*t) + cos(22*pi*t)) - 6*cos(12*pi*t) + 6*cos(24*pi*t)
freq_max : 12.0
freq_min : 6.0
BW : 6.0
gráfica de espectro de frecuencias

6. Algoritmo en Python
La instrucciones en Python para cada ejercicio a observar en el dominio de la frecuencia requiere actualiar la sección de INGRESO que fué proporcinada en cada sección anterior. El algoritmo se presenta como ejemplo la escala o suma de una constante.
# ejemplo 3-3.1 p82 escala o suma con una constante
# telg1034 DSP fiec-espol edelros@espol.edu.ec
import numpy as np
import matplotlib.pyplot as plt
import sympy as sym
import telg1034 as dsp
# variables
from telg1034 import t,A,w,f,p,pi,DosPi,I,equivalentes
# INGRESO
x1 = 3/2 + 6*sym.cos(6*pi*t - pi/3) + 4*sym.cos(14*pi*t + pi/4)
x2 = 2*x1
x3 = 6
x4 = x2+x3
# Para espectro de frecuencias y fasores
x_senales = [x1,x2,x3,x4]
x_etiqueta = ['x1(t)','(2)x1(t)','x3(t)','(2)x1(t)+x3(t)']
# PROCEDIMIENTO
x_conteo = len(x_senales)
x_espectro = [] ; freq_max_graf = 1; freq_min_graf = 0
for unasenal in x_senales:
# operaciones para espectro
x_term = dsp.x_list_term_Add(unasenal)
Xe_term = dsp.cos_to_euler_one_term(x_term)
x_term_expand = dsp.euler_to_cos_list(Xe_term)
Xe_term_spectr = dsp.cos_spectrum_list(x_term)
# espectro de cada señal
un_espectro = {}
freq = Xe_term_spectr['freq']
ampl = Xe_term_spectr['ampl']
fase = Xe_term_spectr['fase']
un_espectro['freq'] = freq
un_espectro['ampl'] = ampl
un_espectro['fase'] = fase
un_espectro['etiq'] = Xe_term_spectr['etiq']
un_espectro['x_expand'] = x_term_expand
# ancho de banda
freq_max = float(max(freq))
if len(freq[freq>0])>0:
freq_min = float(min(freq[freq>0]))
else:
freq_min = 0
un_espectro['freq_max'] = freq_max
un_espectro['freq_min'] = freq_min
freq_centro = (freq_max+freq_min)/2
un_espectro['BW'] = freq_max-freq_min
x_espectro.append(un_espectro)
# freq_max para grafica, eje unificado x_senales
if freq_max>freq_max_graf:
freq_max_graf = freq_max
# SALIDA
print('x_senales: ')
for i in range(x_conteo):
print('senal: ',x_senales[i])
print(' espectro:')
unespectro = x_espectro[i]
for unparam in unespectro:
print(' ',unparam,':',unespectro[unparam])
7. Gráfica con Python
# GRAFICAS de espectro de frecuencias ---------
graf_dx = 0.14
fig_espectro = plt.figure()
for i in range(0,x_conteo,1):
unespectro = x_espectro[i]
freq = unespectro['freq']
ampl = unespectro['ampl']
etiqueta = unespectro['etiq']
ampl_max = float(max(ampl))
# grafica
graf_sub = x_conteo*100+10+i+1
graf_fasor = fig_espectro.add_subplot(graf_sub)
if freq_max_graf!=0:
graf_fasor.set_xlim([-freq_max_graf*(1+graf_dx),
freq_max_graf*(1+graf_dx)])
else:
graf_fasor.set_xlim([-1,1])
graf_fasor.set_ylim([0,ampl_max*(1+graf_dx*2)])
graf_fasor.grid()
graf_fasor.axhline(0,color='black')
graf_fasor.axvline(0,linestyle='dotted',color='grey')
graf_fasor.stem(freq,ampl) # grafica magnitud
for k in range(0,len(freq),1): # etiquetas de fasor
plt.annotate(etiqueta[k],xy=(freq[k],ampl[k]),
xytext=(0,5),textcoords='offset points',
ha='center')
graf_fasor.set_ylabel(x_etiqueta[i])
if i == 0:
graf_fasor.set_title('Espectro: x_senales')
if i ==(x_conteo-1):
graf_fasor.set_xlabel('freq Hz')
plt.show()