1ra Evaluación II Término 2009-2010. 3/Diciembre/2009. TELG1001
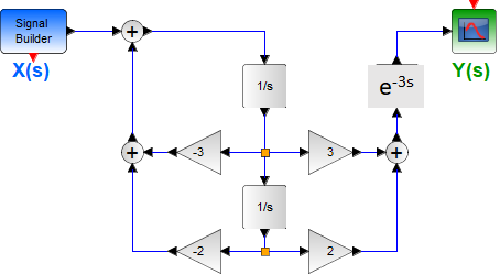
Tema 1. (20 puntos) Un estudiante del curso de Sistemas Lineales ha encontrado que un determinado sistema puede ser realizable mediante el diagrama canónico mostrado en la siguiente figura.

Determinar,
a. La función de transferencia del mencionado sistema
b. su respuesta impulso h(t)
c. ¿Qué puede decir acerca de la estabilidad interna y externa?
Referencia: Ejemplo 3, LTIC Laplace – Diagramas de bloques con «1/s»