3ra Evaluación II Término 2009-2010. 18/Febrero/2010. TELG1001
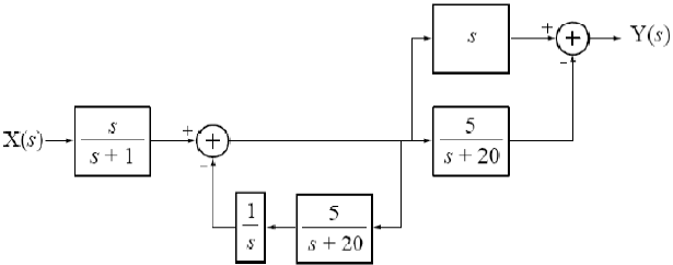
Tema 4. (20 puntos) Para el sistema que se representa a continuación mediante diagrama de bloques, determine si es BIBO estable o no.

Tema 4. (20 puntos) Para el sistema que se representa a continuación mediante diagrama de bloques, determine si es BIBO estable o no.
