1ra Evaluación II Término 2011-2012. 1/Diciembre/2011. TELG1001
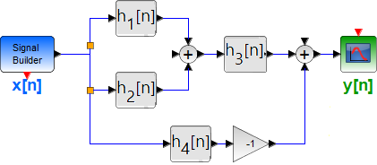
Tema 1. (30 puntos) Un estudiante de la materia Sistemas Lineales ha determinado que un sistema LTI-DT está integrado por la conexión serie-paralelo de cuatro subsistemas, tal como se muestra en la figura.
Conociendo que:

a. Encontrar la respuesta impulso del sistema completo, es decir h[n], indicando si el sistema integral es FIR o IIR.
b. Determinar, justificando su respuesta, si el sistema es BIBO estable. Comente además sobre la causalidad del mismo.
c. Hallar la respuesta y[n], en forma de mínima expresión, frente a la entrada
x[n] = \alpha_2^n \mu [n]d. Determinar el valor de y[0] si acaso α1 = 0.20 y α2 = 0.40