2da Evaluación II Término 2012-2013. 31/Enero/2013. TELG1001
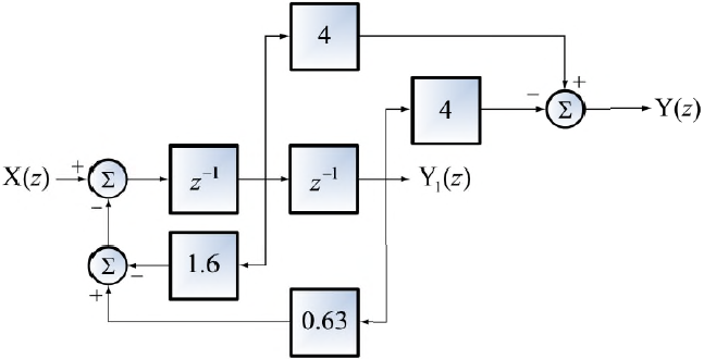
Tema 4. (25 puntos) Para el sistema LTI-DT cuya representación en su forma canónica se describe a continuación,

Determine:
a. La función de transferencia.
b. El diagrama de polos y ceros correspondiente.
c. La respuesta impulso h[n]