3ra Evaluación II Término 2016-2017. 2/Marzo/2017. TELG1001
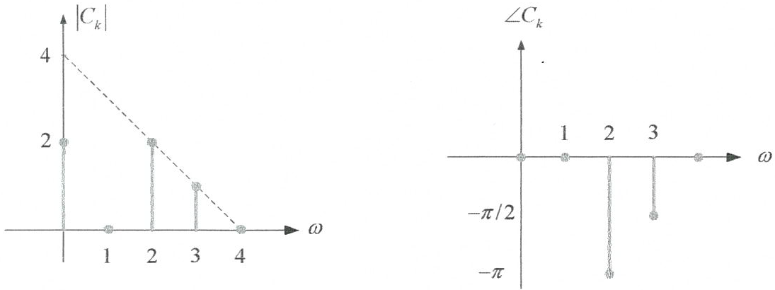
Tema 4. (24 puntos) La siguiente figura muestra el espectro de Fourier de una señal periódica x(t).

a. Por simple inspección, determine las Series de Fourier (armónica) que representan a x(t)
b. Por simple inspección, esquematice adecuadamente el espectro de los coeficientes de Fourier complejos exponenciales.
c. Encuentre la potencia y Energía de la señal x(t).