3ra Evaluación II Término 2017-2018. Febrero 20, 2018
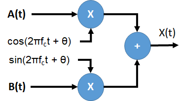
Tema 4. (25 puntos) La señal de entrada X(t) de un sistema tipo “QAM” son procesos aleatorios A(t) y B(t) independientes con densidades espectrales de potencia mostradas.
X(t) = A(t) cos(2πfct + θ) + B(t) sin(2πfct + θ)
a) Encuentre la densidad espectral de potencia de la señal QAM, SX(f)
b) Grafique su respuesta


Rúbrica: literal a (15 puntos), literal b (10 puntos)