3ra Evaluación I Término 2006-2007, Septiembre 12, 2006 /ICM00794
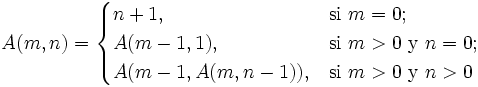
Tema 1. (20puntos) Debido a su definición, profundamente recursiva, la función de Ackermann se utiliza con frecuencia para comparar compiladores en cuanto a su habilidad para optimizar la recursión. Dicha función se define a continuación:

a. Realice una función ackerman(m, n) en matlab, que encuentre el resultado de Ackerman para n y m dados.
b. Realice la prueba de escritorio para ackerman(1, 2).