3ra Evaluación II Término 2011-2012, Febrero 14, 2012 /ICM00794

Tema 2. (30 puntos) Juan y Pedro deciden separadamente recorrer en auto varias ciudades quedándose un día en cada una,
al siguiente día cada uno decide ir por la izquierda o derecha lanzando una moneda, hasta encontrar un punto en que ya no se pueda continuar (marcado por 0 en la tabla).
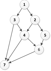
Los posibles recorridos por carretera se representan en la tabla, indicando:
- el valor de gastos por estadía en una ciudad,
- el número de la siguiente ciudad que se visitaría si se sigue en la dirección izquierda o derecha.
| Ciudad | Gastos | Izquierda | Derecha |
|---|---|---|---|
| 1 | 200 | 3 | 2 |
| 2 | 150 | 4 | 5 |
| 3 | 70 | 7 | 4 |
| 4 | 140 | 7 | 6 |
| 5 | 90 | 6 | 0 |
| 6 | 300 | 7 | 0 |
| 7 | 50 | 0 | 0 |
Realice un programa que permita simular el viaje de Juan y el de Pedro, ingresando la tabla y al final muestre:
a. el recorrido realizado por Juan y Pedro en arreglos,
b. el total de gastos por estadía por cada el recorrido,
c. quién visitó mas ciudades y,
d. quién gastó menos en su recorrido.
Rúbrica: Ingreso de datos (5 puntos), arreglos de Recorridos (15 puntos), literal b) (5 puntos), literal c) y d) (5 puntos).